Jeudi 18 septembre : retrouvez les prévisions des transports dans la Somme et dans les Hauts-de-France
Découvrez les perturbations à venir.
Publié : 17 septembre 2025 à 12h30
/t:r(unknown)/fit-in/1100x2000/filters:format(webp)/medias/N35FMbJdGz/image/train_TER_SNCF_r_gion_hauts_de_france1675068574312.jpg)
L'appel à la grève a été lancé par les syndicats. Les prévisions sont tombées. Cela s'annonce « fortement perturbé » pour les TER des Hauts-de-France. La SNCF vous invite à consulter la rubrique « Fiche horaires », l'application SNCF Connect ou votre application de mobilité habituelle. D'autre part, des perturbations sont annoncées par Oise Mobilité.
Le préfet de la Somme est, comme ses pairs des autres départements, appelée à la vigilance par Bruno Retailleau dès ce soir. Le ministre de l'Intérieur incite Frédérique Camilleri, à faire intervenir la police en cas de blocage d'établissements scolaires ou d'« infrastructures essentielles à la vie de la nation ». Ce sont désormais au moins 800.000 manifestants qui sont attendus dans toute la France, soit quatre fois plus que la semaine dernière. Environ 250 rassemblements sont recensés.
Les perturbations prévues dans la Somme jeudi 18 septembre 2025
-
Trafic « fortement perturbé » pour les lignes de trains
-
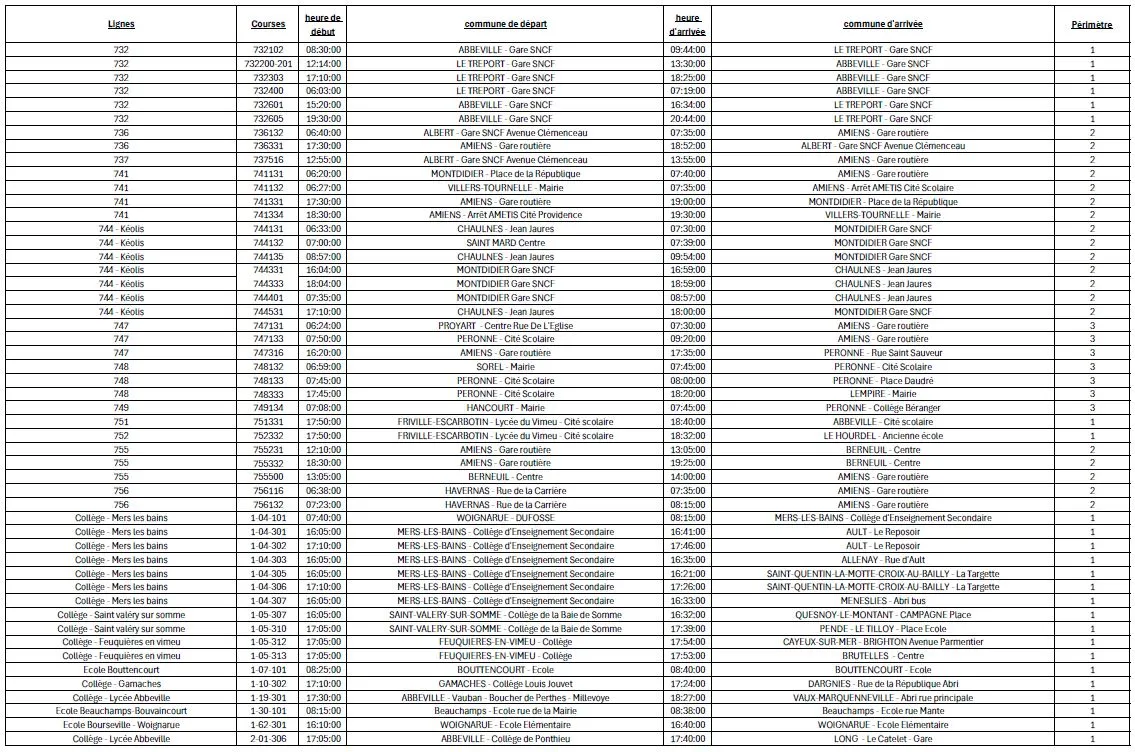
Trafic perturbé pour le réseau de bus Hauts-de-France Mobilités. De nombreux circuits ne seront pas réalisés. Retrouvez les détails ci-dessous :
/t:r(unknown)/filters:format(webp)/radios/evasion/pagesImages/SVCj3wcG8y/wEqCQ8GdAp.jpeg)
/t:r(unknown)/filters:format(webp)/radios/evasion/pagesImages/SVCj3wcG8y/kGorxVPI5V.jpeg)
/t:r(unknown)/filters:format(webp)/radios/evasion/pagesImages/SVCj3wcG8y/atDVch7wkw.jpeg)
/t:r(unknown)/filters:format(webp)/radios/evasion/pagesImages/SVCj3wcG8y/Tq84u0EPJI.jpeg)
Les perturbations prévues en France jeudi 18 septembre 2025
-
Intercités : un train sur deux devrait être à l’arrêt
-
TER : La situation changera en fonction des régions. En moyenne, 3 TER sur 5 circuleront
-
SNCF : 90% des TGV circuleront et « l’ensemble des clients devrait pouvoir voyager dans la journée » selon SNCF Voyageurs.
Nicolas Chacun - Brice Charrier
/t:r(unknown)/fit-in/300x2000/filters:format(webp)/filters:quality(100)/radios/evasion/images/logo_qvwTMiTcTb.png)
/t:r(unknown)/fit-in/500x375/filters:format(webp)/medias/N35FMbJdGz/image/slider_re_sultat_1er_tour1773412386286__1_1774027537344-format4by3.png)
/t:r(unknown)/fit-in/500x375/filters:format(webp)/medias/N35FMbJdGz/image/slider_re_sultat_1er_tour1773412386286__1_1774027657119-format4by3.png)
/t:r(unknown)/fit-in/500x375/filters:format(webp)/medias/N35FMbJdGz/image/slider_re_sultat_1er_tour1773412386286__1_1774027847179-format4by3.png)
/t:r(unknown)/fit-in/500x375/filters:format(webp)/medias/N35FMbJdGz/image/slider_re_sultat_1er_tour1773412386286__1_1774028024306-format4by3.png)
/t:r(unknown)/fit-in/400x400/filters:format(webp)/medias/N35FMbJdGz/image/Slider_HOROSCOPES_EVA1752677086858-format1by1.png)
/t:r(unknown)/fit-in/400x225/filters:format(webp)/medias/N35FMbJdGz/image/_SLIDER__PANA1774016689874-format16by9.png)